Лазерный дальномер — это современное и удобное устройство, которое работает по принципу отражения лазерного луча от объекта и определения времени его возврата. С его помощью можно точно и быстро измерять расстояния до разных целей, не прибегая к линейкам, рулеткам или теодолитам. Он применяется в самых разных сферах деятельности: от строительства и архитектуры до охоты и гольфа. В этой статье мы подскажем, на что обратить внимание при выборе лазерного дальномера и как эффективно использовать его в различных условиях и задачах.

Как работает лазерный дальномер
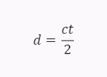
Лазерный дальномер состоит из двух основных частей: лазерного излучателя и приемника. Лазерный излучатель высылает короткий импульс лазерного луча к объекту, от которого он отражается и возвращается к приемнику. Приемник фиксирует время, которое потребовалось лучу для прохождения туда и обратно, и на основе этого вычисляет расстояние до объекта по формуле:

где d — расстояние, c — скорость света, t — время.
Лазерный дальномер может измерять расстояния от нескольких сантиметров до нескольких километров с точностью до миллиметра. Он также может определять угол наклона и высоту объекта по отношению к горизонту.
Применение в строительстве
Лазерный дальномер может быть очень полезен в строительстве, так как он позволяет быстро и точно измерять расстояния между разными точками на плане или на местности. Например, с его помощью можно:
- определить размеры участка или помещения;
- проверить горизонтальность или вертикальность стен, полов или потолков;
- выставить ровно опоры, колонны или балки;
- рассчитать объем материалов или земляных работ;
- контролировать качество выполнения работ.
Для использования в строительстве нужно:
- Направить лазерный луч на объект измерения и нажать кнопку;
- Считать показания на дисплее или передать их на компьютер или смартфон через Bluetooth или Wi-Fi;
- Повторить измерение для других точек или объектов.
Применение в землеустройстве
Лазерный дальномер также может быть очень полезен в землеустройстве, так как он позволяет точно определять границы и параметры земельных участков. Например, с его помощью можно:
- определить площадь и периметр участка;
- координаты угловых точек участка;
- азимуты и углы между сторонами участка;
- рельеф и склонность участка;
- составить топографическую карту участка.
Для использования в землеустройстве нужно:
- Направить лазерный луч на угловую точку участка и нажать кнопку;
- Считать показания на дисплее или передать их на компьютер или смартфон через Bluetooth или Wi-Fi;
- Повторить измерение для других угловых точек участка;
- Рассчитать параметры участка по полученным данным.
Применение в других ситуациях
Лазерный дальномер может быть также применен в других ситуациях, где требуется измерять расстояния до объектов. Например, с его помощью можно определить:
- расстояние до животного или мишени при охоте или стрельбе;
- расстояние до лунки или флага при игре в гольф;
- высоту дерева, здания или горы;
- скорость движения автомобиля или поезда;
- расстояние между двумя точками на карте или в навигаторе.
Для использования в других ситуациях нужно:
- Направить лазерный луч на объект измерения и нажать кнопку;
- Считать показания на дисплее или передать их на компьютер или смартфон через Bluetooth или Wi-Fi;
- Повторить измерение для других объектов, если необходимо.

Как выбрать лазерный дальномер
Лазерный дальномер — это устройство, которое может быть очень полезным в разных ситуациях и областях. Но как выбрать тот, который подойдет именно для ваших целей и потребностей? Существует множество разных моделей и характеристик, которые нужно учитывать при покупке. Вот некоторые из них:
- Дальность измерения. Это один из самых важных параметров, который определяет, на какое расстояние можно измерять объекты. Дальность измерения может варьироваться от нескольких метров до нескольких километров. Определите, какие объекты вы собираетесь измерять и на каком расстоянии от них вы будете находиться.
- Точность измерения. Она может варьироваться от нескольких миллиметров до нескольких сантиметров. Определите, насколько критична для вас точность измерения и какие погрешности вы готовы допускать.
- Функционал. Это набор дополнительных возможностей, которые может предоставлять лазерный дальномер. Например, некоторые могут определять не только расстояние, но и угол наклона, высоту, площадь, периметр, объем и скорость объектов. Некоторые могут передавать данные на компьютер или смартфон через Bluetooth или Wi-Fi. Другие могут работать в разных режимах, например, непрерывном или одиночном. Определите, какие функции вам нужны и какие задачи вы хотите решать с его помощью.
- Дизайн и эргономика. Это внешний вид и удобство использования. Например, некоторые дальномеры имеют компактный и легкий корпус, который удобно держать в руке или кармане. Некоторые большой и яркий дисплей, на котором легко читать показания. Другие имеют простое и интуитивное управление с помощью кнопок или сенсорного экрана. Определите, какой дизайн и эргономика вам нравятся и подходят.
- Цена и качество. Это соотношение стоимости и надежности. Например, некоторые дальномеры имеют высокую цену, но и высокое качество, которое обеспечивает точность, стабильность и долговечность работы. Некоторые имеют низкую цену, но и низкое качество, которое может привести к ошибкам, сбоям или поломке устройства. Определите, какой бюджет вы готовы потратить и какое качество вы ожидаете получить.
Как видите, выбор лазерного дальномера — это не такая простая задача, как может показаться на первый взгляд. Но если вы учтете все эти параметры и сравните разные модели и характеристики, то сможете найти устройство, которое будет идеально подходить для ваших целей и потребностей.
Выводы
С помощью лазерного дальномера можно легко и точно определить расстояние до любого объекта. Это устройство применимо в самых разных сферах деятельности: от строительства и землеустройства до охоты и спорта. Оно обладает рядом преимуществ по сравнению с другими способами измерения, которые требуют физического контакта, большого количества инструментов или сложных расчетов. Оно позволяет сэкономить время, силы и ресурсы, а также повысить эффективность и качество работы. Лазерный дальномер — это надежный и полезный инструмент для профессионалов и любителей.